聚焦水蜜桃视频下载,傳遞環境檢測行業新動態

水蜜桃一区一区集免费看中毛細管熱氣旁通的設計及粗算過程

作者: salmon範 編輯: 水蜜桃视频下载儀器 來源: www.xluohao.com 發布日期: 2020.09.22
    毛細管是一種便宜、有效、沒有磨損的節流機構,它在水蜜桃一区一区集免费看的製冷裝置中經常被用作液體節流器,對蒸發器供液。毛細管作為液管節流器的計算一直都沒有可靠公式,大多根據經驗值通過實驗確定。將其用在熱氣旁通管中,利用製冷工質在細長管中的流動阻力,對壓縮機排氣管中的高溫高壓過熱工質進行降壓節流成為高溫低壓氣體,節流過程隻涉及到單相流體,可以通過管道的阻力粗略計算得出毛細管管內徑和長度。
    一、毛細管熱氣旁通的粗算過程

    如圖3所示,毛細管多采用夾扁大管焊接,毛細管進出兩端實質上是一個突縮和突擴的局部阻礙。從流體力學的角度,毛細管的的節流能力就是對這個兩個局部阻礙和毛細管沿程阻力的計算。

毛細管連接模型

圖3 毛細管連接模型
    1、計算毛細管前後低壓、高壓熱氣旁通管的管內流速υ1、υ3
    首先根據設計的運行壓力,結合製冷劑的工質性質可以查出毛細管前後高壓、低壓熱氣旁通管道內的密度或比容,從而計算得出體積流量:
                            (1)  Vd
    根據體積流量確認毛細管前後低壓、高壓熱氣旁通管的內管徑:
                            (2)D
    管徑一般根據管內流速來確定,考慮的一個依據是管內噪音,管內流速在3000FPM(15.24m/s)以上會產生很大噪音。管內流速不應超過15m/s。毛細管後的低壓管一般取略大於毛細管前的高壓管。
    以流速計算得出的管徑D是小要求的銅管內徑。而商用銅管的尺寸已經標準化,為保證可靠性,環境試驗箱製冷係統管路銅管在選擇時均選用壁厚較厚的K形式銅管。
    得出內徑後,V
    計算得到毛細管前後熱氣旁通管的氣體流速分別為 υ1、υ3 。
    2、初定毛細管的內徑
    不同毛細管的管內徑和管長在相同應用工況下存在類比關係,內徑和管長共同確定毛細管的節流能力。所以管長和內徑需先假定一個初始內徑值,再計算管長。當計算管長太長時(影響實際生產加工),再通過類比,或重選管內徑較大的毛細管重新計算。熱氣旁通管毛細管一般假定內徑值為高壓熱氣旁通管D1的1/2左右,即1/4的截麵積。
    3、計算毛細管沿程阻力
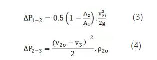
    毛細管的長度直接影響的是製冷劑的沿程阻力,要計算毛細管的長度,就需要先得到毛細管的沿程阻力值。而這個沿程阻力值可以粗略的看做整個熱氣旁通回路的壓降除去毛細管進出口兩個局部阻力△P1-2 和△P2-3  。
    製冷劑過熱氣體在毛細管中流動時,比容不斷發生改變,流速越來越快,加上管路的保溫作用,在毛細管長度粗算時,將其單純的看成一元氣體在絕熱管中流動能簡化計算過程,也較貼近實際。
    根據氣體一元氣體連續性方程  ρvA=C,C為常量。
    毛細管進出口的流速看做氣體圓形斷麵在有限空間射流分析,為方便計算,將射流斷麵的平均流速、密度假定為隨噴射距離均勻變化,由此可以計算得到製冷劑在流入、流出毛細管瞬間的流動狀態參數v2i ,ρ2i;v2o,v2o。

    毛細管前後突然縮小和突然擴大的兩個局部阻力可分別采用計算公式:

QQ截圖20200922082345

     4、計算毛細管的長度
    毛細管節流過程為絕熱膨脹過程,根據一元氣體絕熱流動的基本公式(近似解):
                                (5)P1
    公式中:P1、P2-毛細管進出口壓力,單位為Pa;
    l——毛細管長度,單位m;
    λ——摩擦阻力係數;
    k——製冷劑氣體絕熱係數,常數k=1.33;
    ρ1——製冷劑密度,kg/m3 ;
    D——毛細管內徑,單位m;
    G——製冷劑質量流量,單位 kg/s;
    A——毛細管截麵積,單位m2。
    毛細管的沿程阻力係數根據雷諾數 選擇相應的公式,
    當Re=4000~107 時采用在柯式公式基礎上簡化的莫迪公式:
                            (6)水蜜桃视频下载儀器
    當Re>107時采用在柯氏公式上簡化的阿裏特蘇裏公式:
                            (7)熱旁通
    式中K為當量糙粒高度,對於銅管,根據莫迪當量粗糙圖得出k=0.01mm。
    由絕熱管路一元氣體流動方程可得毛細管長度:
                          (8)QQ截圖20200922082729
    通過計算得出的毛細管長度是一個較為粗略的值,要更精確的滿足實際應用還需要進一步通過試驗驗證。同時根據不同的應用場合,也可以根據需要提高製冷係統設計的允許壓力。
【相關推薦】
查看詳情 + 上一條 蜜桃视频APP安装下载的檢測與校準對策
查看詳情 + 下一條 水蜜桃一区一区集免费看冷熱旁通回路設計方法

東莞市水蜜桃视频下载環境檢測儀器有限公司 版權所有

備案號:粵ICP備95743737號

谘詢熱線:400-088-3892 技術支持:水蜜桃视频下载儀器 百度統計

聯係水蜜桃视频下载

  • 郵箱:riukai@xluohao.com
  • 手機:189 3856 3648
  • 座機:0769-81019278
  • 公司地址:東莞市橫瀝鎮西城工業園二區B19號

關注水蜜桃视频下载

  • <a id=" src="http://www.xluohao.com/resource/images/ee6ddfa37b974b8ab546b9456ceeac2a_2.jpg" title="">客服微信
網站地圖